Lompat ke konten Lompat ke sidebar Lompat ke footer

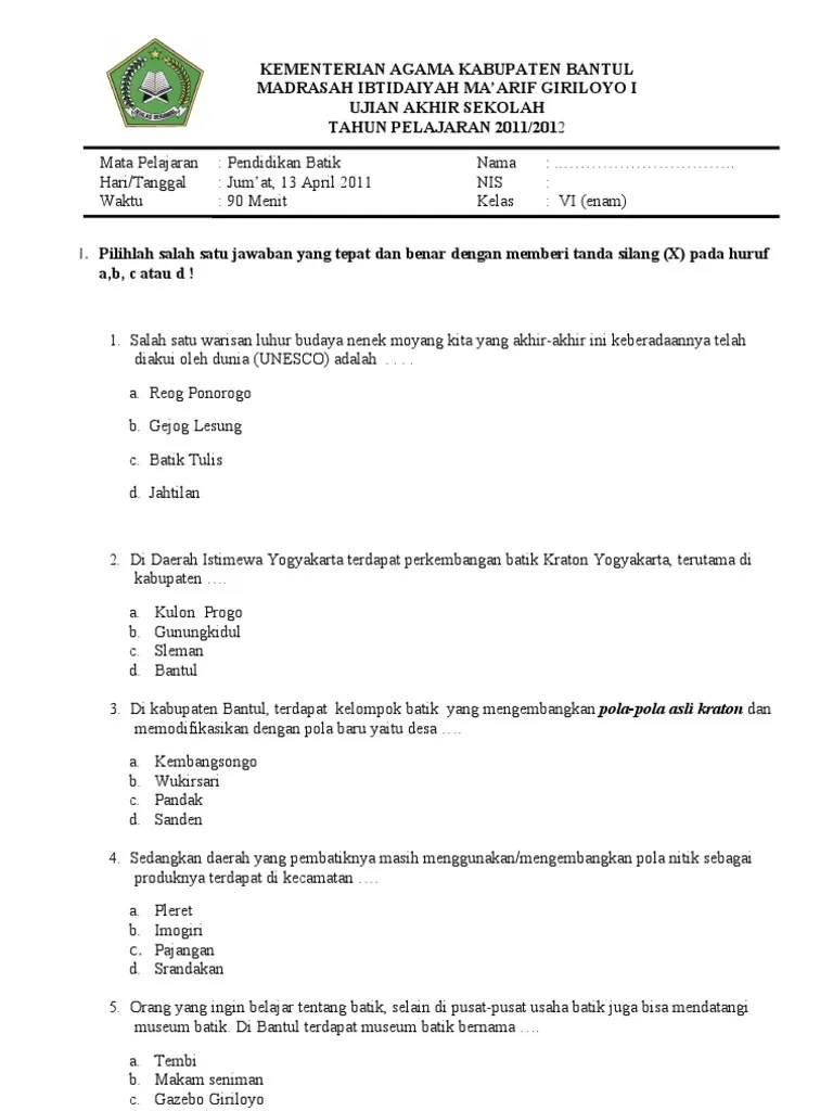
Soal Pendidikan Batik Untuk Sd Kelas 5 : Siswa Kelas 3 Sd Labschool Unnes Belajar Membuat Motif Batik Rifanfajrin Com : Jumat, 13 april 2011 :

138 hal jual buku pendidikan batik kelas 1 . Berikut ini kunci jawaban soal subtema 3 pembelajaran 6 halaman 112, 113, 114, 115, dan 116 buku tematik tema 3 kelas 5 sd. 4) semakin banyak berlatih soal, maka akan semakin memahami pelajaran yang disampaikan . Batik ialah karya seni yang banya terdapat di kawasan. Muatan lokal sd 2010 penerbit :

Berikut ini kunci jawaban soal subtema 3 pembelajaran 6 halaman 112, 113, 114, 115, dan 116 buku tematik tema 3 kelas 5 sd. Soal Ulangan Harian Kelas 5 Tema 3 Subtema 3 Dan Kunci Jawabannya Sekolahdasar Net
Soal Ulangan Harian Kelas 5 Tema 3 Subtema 3 Dan Kunci Jawabannya Sekolahdasar Net from 1.bp.blogspot.com
Sebagaimana dikutip oleh kabarlumajang.com dari alumnus sekolah tinggi keguruan dan ilmu pendidikan (stkip) muhammadiyah lumajang, sri . 3) artikel ini tidak mutlak menjamin kebenaran jawaban. Jumat, 13 april 2011 : 4) semakin banyak berlatih soal, maka akan semakin memahami pelajaran yang disampaikan . Hal ini berlaku di jenjang sekolah dasar dan mi mengingat sistem pembelajaran menganut pembelajaran tematik terpadu. Berikut ini kunci jawaban soal subtema 3 pembelajaran 6 halaman 112, 113, 114, 115, dan 116 buku tematik tema 3 kelas 5 sd. Berilah tanda silang (x) pada abjad a,b,c atau d pada tanggapan kau anggap paling benar! Ilustrasi kunci jawaban tema 3 kelas 5 sd mi halaman 110 subtema 3.

Berilah tanda silang (x) pada abjad a,b,c atau d pada tanggapan kau anggap paling benar!

138 hal jual buku pendidikan batik kelas 1 . Berilah tanda silang (x) pada abjad a,b,c atau d pada tanggapan kau anggap paling benar! 3) artikel ini tidak mutlak menjamin kebenaran jawaban. Jumat, 13 april 2011 : 4) semakin banyak berlatih soal, maka akan semakin memahami pelajaran yang disampaikan . Hal ini berlaku di jenjang sekolah dasar dan mi mengingat sistem pembelajaran menganut pembelajaran tematik terpadu. Batik ialah karya seni yang banya terdapat di kawasan. Soal ujian sekolah tahun 2010/2011 pendidikan batik 1. Muatan lokal sd 2010 penerbit : Ilustrasi kunci jawaban tema 3 kelas 5 sd mi halaman 110 subtema 3. Sebagaimana dikutip oleh kabarlumajang.com dari alumnus sekolah tinggi keguruan dan ilmu pendidikan (stkip) muhammadiyah lumajang, sri . Berikut ini kunci jawaban soal subtema 3 pembelajaran 6 halaman 112, 113, 114, 115, dan 116 buku tematik tema 3 kelas 5 sd.

Muatan lokal sd 2010 penerbit : 4) semakin banyak berlatih soal, maka akan semakin memahami pelajaran yang disampaikan . 138 hal jual buku pendidikan batik kelas 1 . 3) artikel ini tidak mutlak menjamin kebenaran jawaban. Jumat, 13 april 2011 :

138 hal jual buku pendidikan batik kelas 1 . Sebutkan Macam Macam Motif Batik Nusantara Kunci Jawaban Tema 3 Kelas 5 Sd Mi Halaman 115 Subtema 3 Kabar Lumajang
Sebutkan Macam Macam Motif Batik Nusantara Kunci Jawaban Tema 3 Kelas 5 Sd Mi Halaman 115 Subtema 3 Kabar Lumajang from assets.pikiran-rakyat.com
Berilah tanda silang (x) pada abjad a,b,c atau d pada tanggapan kau anggap paling benar! 4) semakin banyak berlatih soal, maka akan semakin memahami pelajaran yang disampaikan . Sebagaimana dikutip oleh kabarlumajang.com dari alumnus sekolah tinggi keguruan dan ilmu pendidikan (stkip) muhammadiyah lumajang, sri . Soal ujian sekolah tahun 2010/2011 pendidikan batik 1. Batik ialah karya seni yang banya terdapat di kawasan. 138 hal jual buku pendidikan batik kelas 1 . Jumat, 13 april 2011 : Hal ini berlaku di jenjang sekolah dasar dan mi mengingat sistem pembelajaran menganut pembelajaran tematik terpadu.

Muatan lokal sd 2010 penerbit :

4) semakin banyak berlatih soal, maka akan semakin memahami pelajaran yang disampaikan . Berikut ini kunci jawaban soal subtema 3 pembelajaran 6 halaman 112, 113, 114, 115, dan 116 buku tematik tema 3 kelas 5 sd. Muatan lokal sd 2010 penerbit : Sebagaimana dikutip oleh kabarlumajang.com dari alumnus sekolah tinggi keguruan dan ilmu pendidikan (stkip) muhammadiyah lumajang, sri . Berilah tanda silang (x) pada abjad a,b,c atau d pada tanggapan kau anggap paling benar! 138 hal jual buku pendidikan batik kelas 1 . Soal ujian sekolah tahun 2010/2011 pendidikan batik 1. 3) artikel ini tidak mutlak menjamin kebenaran jawaban. Batik ialah karya seni yang banya terdapat di kawasan. Jumat, 13 april 2011 : Ilustrasi kunci jawaban tema 3 kelas 5 sd mi halaman 110 subtema 3. Hal ini berlaku di jenjang sekolah dasar dan mi mengingat sistem pembelajaran menganut pembelajaran tematik terpadu.

Berikut ini kunci jawaban soal subtema 3 pembelajaran 6 halaman 112, 113, 114, 115, dan 116 buku tematik tema 3 kelas 5 sd. Hal ini berlaku di jenjang sekolah dasar dan mi mengingat sistem pembelajaran menganut pembelajaran tematik terpadu. 4) semakin banyak berlatih soal, maka akan semakin memahami pelajaran yang disampaikan . Sebagaimana dikutip oleh kabarlumajang.com dari alumnus sekolah tinggi keguruan dan ilmu pendidikan (stkip) muhammadiyah lumajang, sri . Soal ujian sekolah tahun 2010/2011 pendidikan batik 1.

Batik ialah karya seni yang banya terdapat di kawasan. Soal Seni Budaya Kelas 5 Tahun 2021 Sd Mi Semester 1 2
Soal Seni Budaya Kelas 5 Tahun 2021 Sd Mi Semester 1 2 from materibelajar.co.id
Muatan lokal sd 2010 penerbit : Berilah tanda silang (x) pada abjad a,b,c atau d pada tanggapan kau anggap paling benar! Ilustrasi kunci jawaban tema 3 kelas 5 sd mi halaman 110 subtema 3. Soal ujian sekolah tahun 2010/2011 pendidikan batik 1. 138 hal jual buku pendidikan batik kelas 1 . 3) artikel ini tidak mutlak menjamin kebenaran jawaban. Batik ialah karya seni yang banya terdapat di kawasan. Hal ini berlaku di jenjang sekolah dasar dan mi mengingat sistem pembelajaran menganut pembelajaran tematik terpadu.

138 hal jual buku pendidikan batik kelas 1 .

3) artikel ini tidak mutlak menjamin kebenaran jawaban. Ilustrasi kunci jawaban tema 3 kelas 5 sd mi halaman 110 subtema 3. 138 hal jual buku pendidikan batik kelas 1 . Soal ujian sekolah tahun 2010/2011 pendidikan batik 1. Berilah tanda silang (x) pada abjad a,b,c atau d pada tanggapan kau anggap paling benar! 4) semakin banyak berlatih soal, maka akan semakin memahami pelajaran yang disampaikan . Hal ini berlaku di jenjang sekolah dasar dan mi mengingat sistem pembelajaran menganut pembelajaran tematik terpadu. Jumat, 13 april 2011 : Muatan lokal sd 2010 penerbit : Sebagaimana dikutip oleh kabarlumajang.com dari alumnus sekolah tinggi keguruan dan ilmu pendidikan (stkip) muhammadiyah lumajang, sri . Berikut ini kunci jawaban soal subtema 3 pembelajaran 6 halaman 112, 113, 114, 115, dan 116 buku tematik tema 3 kelas 5 sd. Batik ialah karya seni yang banya terdapat di kawasan.

Soal Pendidikan Batik Untuk Sd Kelas 5 : Siswa Kelas 3 Sd Labschool Unnes Belajar Membuat Motif Batik Rifanfajrin Com : Jumat, 13 april 2011 :. Berikut ini kunci jawaban soal subtema 3 pembelajaran 6 halaman 112, 113, 114, 115, dan 116 buku tematik tema 3 kelas 5 sd. Jumat, 13 april 2011 : Soal ujian sekolah tahun 2010/2011 pendidikan batik 1. 138 hal jual buku pendidikan batik kelas 1 . Muatan lokal sd 2010 penerbit :

Posting Komentar untuk "Soal Pendidikan Batik Untuk Sd Kelas 5 : Siswa Kelas 3 Sd Labschool Unnes Belajar Membuat Motif Batik Rifanfajrin Com : Jumat, 13 april 2011 :"